 
     
 
 
Alejandro Aguilar
El Buen Tono
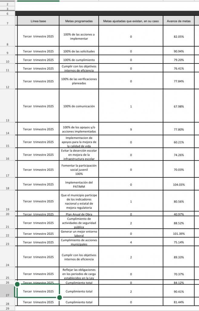
Córdoba, Ver.- Aun con maniobras en sus propios indicadores de desempeño, el ayuntamiento de Córdoba tiene sólo un avance del 40.97% en el programa “Mejora de la Infraestructura” a cargo de Obras Públicas.
Correspondiente al tercer trimestre del 2025 este es el indicador más bajo de toda la administración y refleja una realidad palpable en las calles de la ciudad: baches sin reparar, vialidades deterioradas y la reciente aparición de socavones en distintas colonias.
Junto con este, otros programas vinculados al bienestar social también muestran avances insuficientes. “Gestión Social y de Obra” reporta solo 60.21% de avance, mientras que “Comunicación Social” y “Transparencia Municipal Eficaz” alcanzan 67.98% y 70.37%, respectivamente. Estos datos reflejan un patrón de desatención en áreas sensibles para la población

 
 
 
 
					 
				

