

Alejandro Aguilar
EL BUEN TONO
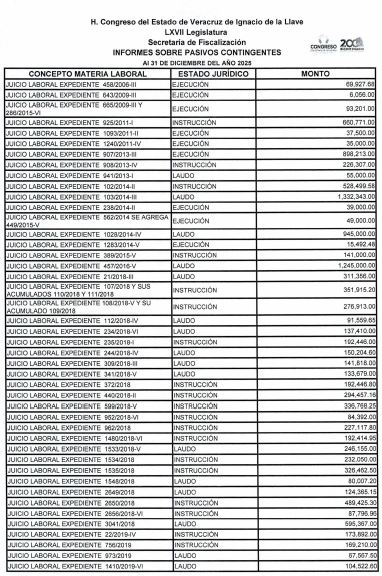
Córdoba, Ver.- La nueva administración no solo enfrenta conflictos laborales inmediatos sino que hereda y continúa acumulando una pesada carga financiera por juicios laborales que asciende a más de 24 millones de pesos, y esto lo pagarán los cordobeses.
Según un informe de pasivos contingentes del Congreso del Estado con corte al 31 de diciembre de 2025 la administración actual lidia con las protestas de policías municipales impagos y el descontento por recortes y recontrataciones en otras áreas.

Documentos oficiales revelan que el municipio arrastra 69 juicios laborales activos, algunos desde 2006, que representan un pasivo contingente de $24,106,973.36 (veinticuatro millones ciento seis mil novecientos setentaenta y tres pesos 36/100 M.N.).
Este panorama de litigiosidad crónica y costosa contrasta con dos situaciones recientes.
Viajes oficiales frecuentes: En los primeros 21 días de enero, personal del área jurídica, incluyendo a los licenciados Alejandro Caiceros Ortiz y Luis Alfonso Hernández bajo la supervisión de Miguel Ángel Rojas González, realizó seis viajes a Xalapa (destino del Tribunal Laboral), usando vehículo oficial y viáticos.

Conflictos laborales nuevos: La administración inicia con denuncias de policías municipales sin pago y un proceso de recontratación bajo conflicto en áreas como parquímetros, lo que presagia la adición de nuevos expedientes a la ya abultada lista de juicios.

