

Alejandro Aguilar
EL BUEN TONO
Córdoba, Ver.- A escasos días de que el Presidente Municipal Juan Martínez Flores presente su último Informe de Gobierno, los reportes financieros actualizados a octubre pintan un panorama económico sombrío para el municipio, heredando a la ciudadanía una pesada carga de deuda y obligaciones potenciales que podrían comprometer las finanzas públicas de los próximos años.
UNA DEUDA PÚBLICA EN ASCENSO
De acuerdo con el Estado Analítico de la Deuda y Otros Pasivos a octubre de 2025, la deuda pública total del Ayuntamiento de Córdoba asciende a $71,195,145.37 pesos. Este monto se compone principalmente de un saldo de $42 millones en títulos y valores de deuda externa a largo plazo, y un significativo incremento en “Otros Pasivos”, que pasó de $18.9 millones a $29.1 millones en lo que va del año.
LLEGADO DE DEMANDAS
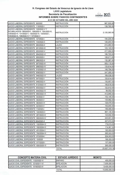
Paralelamente, el Informe sobre Pasivos Contingentes revela la existencia de demandas y juicios contra el municipio que representan un riesgo financiero latente. El total de estos pasivos, que podrían convertirse en deudas reales al resolverse los litigios, suma la alarmante cifra de $39,677,316.16 pesos.
Este rubro se divide en: Materia Laboral ($23.8 millones) que incluye 66 juicios laborales en diferentes fases. Casos destacados son el Expediente 925/2011-I ($660,771), el 103/2014-III ($1.3 millones) y un grupo acumulado de expedientes de 2022 que suma $2.1 millones, todos en fase de “Instrucción”, lo que significa que aún están en proceso.
En Materia Civil ($15.8 millones) destacan dos juicios en fase de “Apelación” por montos multimillonarios: $7 millones y $8.4 millones, respectivamente.



